© Copyright JASSS

JASSS logo ----

James Dow (2008)

Is Religion an Evolutionary Adaptation?

Journal of Artificial Societies and Social Simulation vol. 11, no. 2 2
<https://www.jasss.org/11/2/2.html>

For information about citing this article, click here

Received: 01-May-2007    Accepted: 29-Jan-2008    Published: 31-Mar-2008

PDF version


* Abstract

Religious people talk about things that cannot be seen, stories that cannot be verified, and beings and forces beyond the ordinary. Perhaps their gods are truly at work, or perhaps in human nature there is an impulse to proclaim religious knowledge. If so, it would have to have arisen by natural selection. It is hard to imagine how natural selection could have produced such an impulse. There is a debate among evolutionary scientists about whether or not there is any adaptive advantage to religion at all (Bulbulia 2004a; Atran and Norenzayan 2004). Some believe that it has no adaptive value itself and that it is just a hodge podge of of behaviors that have evolved because they are adaptive in other non-religious contexts. The agent-based simulation described in this article shows that a central unifying feature of religion, a belief in an unverifiable world, could have evolved along side of verifiable knowledge. The simulation makes use of an agent-based communication model with two types of information: verifiable information (real information) about a real world and unverifiable information (unreal information) about about an imaginary world. It examines the conditions necessary for the communication of unreal information to have evolved along side the communication of real information. It offers support for the theory that religion is an adaptive complex and it disputes the theory that religion is a byproduct of unrelated adaptive processes.

Keywords:
Religion, Myth, Deception, Empirical Reasoning, Rationality

* Introduction

1.1
The evolution of religious behavior, or the "origins of religion" as it was conceived in the nineteenth century, has long been a problematic issue in the social sciences. An advance in theorizing occurred in the late nineteenth century when Émile Durkheim (1912) proposed that religion was a phenomenon that promoted social cohesiveness. He concluded that it must have evolved in connection with social life. However, he reified society as a force and ignored biological evolution. His evolution was a social evolution closely tied to nineteenth century ideas of social progress.

1.2
Headed off in the direction of social causality, the traditional social sciences have not had much success in dealing with the evolution of religion. In cultural anthropology, the field in which I was trained, testable hypotheses have arisen only recently. The recent advances have resulted from a synthesis of evolutionary psychology, cognitive science, neurophysiology, and Darwinian anthropology (Alcorta and Sosis 2005; Atran 2002; Atran and Norenzayan 2004; Barrett 2000; Boyer 2001; Bulbulia 2004a,Bulbulia 2004b; Irons 2001; Kirkpatrick 2005).

1.3
Agent-based simulations have been suggested as a way of dealing with the spread of belief and religion (e.g.Doran 1998; Upal 2005, 2007 ); however these efforts at modeling the growth of religion have maintained the tradition of social causality. They talk about "evolution" but consider it to be a mental phenomenon moving from person to person and not a biological process in which behavior is carried by genes. Much of this is a formalization of meme theory which extends the idea of Darwinian selection to the selection of units of thought called memes (Lynch 1996; Dawkins 1976). These are valid approaches, but they do not look backward to the ultimate causes of human behavior, biological evolution.

1.4
Modern biocultural theories about the evolution of religion can be divided into three categories (Dow 2006):

(1) Cognitive theories that postulate that religion is the manifestation of mental modules1 that have evolved for other purposes (Atran and Norenzayan 2004; Boyer 2001, 2003).

(2) Ecological regulation theories that postulate that religion is a master symbolic control system regulating the interaction of human groups with their environments, and, therefore, it has evolved as an adaptive mechanism with this function (Rappaport 1999).

(3) Commitment theories that postulate that religion is a system of costly signals that reduce deception and create trust and cooperation within groups (Irons 2001; Sosis 2004).

1.5

Ecological regulation theory and commitment theory propose that religion has evolved as an adaptive mechanism, while cognitive theory does not.

1.6
Defining religion for scientific study is difficult (Dow 2007). One feature of religion that seems to stand out as non-adaptive is the belief in the existence of an unseen, unverifiable world. The existence of gods, spirits, and the like cannot be verified by the senses. A belief in them makes no sense from an common evolutionary point of view. The animal whose conception of the world is out of touch with reality should be eliminated by natural selection. The one whose mental images correspond most closely to the real environment should be one to survive. The primary problem of explaining how religion has evolved through natural selection is the problem of explaining the belief in unreal things.

1.7
However, let us not be too simplistic. Not everyone has to believe fully in the supernatural. The significant thing for a group is that people communicate ideas about an unreal world. They may not completely believe in them. Religion can flourish in an environment where there is simply talk about the supernatural. Can talk about the supernatural be the key to the evolution of religion? Religious communication with its religious symbolism transmits some sort of information. If it has evolved by natural selection, the information must be generating some sort of fitness. However we social scientists do not know the code that explains to us how religious communication is impacting fitness. We can see the positive fitness impacts of empirical and practical information, but we can't see the same thing for religious communication. If religion is adaptive, the beliefs, perceptions, and symbols created by religion must increase human survival and reproduction in some way other than providing useful images of the environment. The impact of religious communication on survival is probably through its effect on social organization. Yet, religion is not a clearly conscious effort to create a cooperating social group. Although religion creates social solidarity, its organization is not explained by purely rational cooperation.

1.8
There is empirical support for the theories that claim that religion is adaptive. Alcorta and Sosis (2005) adduce ethnographic evidence to show that there is a fitness benefit to ritual commitment. Bulbulia (2004a) is in favor of the adaptive viewpoint for which he marshals evidence. As always, long term evolutionary processes are hard to observe, and theories about them are difficult to prove. More testing of these theories is necessary before they can be fully accepted.

There is a growing consensus among social scientists that the capacity for religion is carried in the human brain and much of that capacity is there at birth (Wolpert 2006; McNamara 2006; King 2007); however, that brain does not have to understand its own adaptive workings. The rational brain has evolved to solve immediate problems of survival. It analyzes sensory input to find solutions to problems that the sensory organs detect in the environment. However, it has no need to analyze long-term evolution. Thus, the hidden evolutionary adaptiveness of religion is obscure to the rational brain. Evolution, itself, organizes long-term adaptations, and the rational brain does not deal with them.

Evidence for evolutionary adaptation can exist either as:

(1) a correlation between a behavior and a particular environment or as

(2) a valid model of an evolutionary processes that selects the behavior.

1.9
The first type of evidence for the adaptive quality of religion can be found. For example, there are cross-cultural linear correlations between types of religious systems and environments (Swanson 1960; Peregrine 1996; Dow 2006). The adaptation in this case may be cultural; however, the cultural learning is facilitated by the underlying brain modules that evolve to support it (Lumsden and Wilson 1981).

1.10
The existence of a correlation between religious systems and environment does not prove that religion evolved as an adaptation to the environment, particularly if common sense rationality sees little connection between the behavior and the environment. If the various components of religion, such as a belief in unseen agents or the exhortation of groups, have other adaptive contexts, religion can appear as a collection of "spandrels" that culture has patched together for no obvious purpose (Boyer 2003; Atran 2002). Atran (2002) denies that religion has any adaptive function as a complete behavioral complex. However, as I have pointed out above, the apparent lack of an obvious adaptive function can simply be the way that people naturally think about adaptive survival, as a response to an environmental problem and not as a evolutionary process. It would be surprising if something so universal and coherent as religion was not selected as a complete behavioral complex (Bulbulia 2004a).

1.11
The second way of showing that religion is a behavioral adaptation is to show that there is natural selection process that produces it. This is difficult because the selection processes is complex enough not to show itself as a rational response to environmental change, the thing that the human brain has evolved to handle so well. However, the relationship of religion to social solidarity points to another, non-environmental selection process called social selection. Fisher (1958) defined social selection as social behavior impacting individual fitness. In general it takes place whenever one individual does something that impacts the fitness of another individual. Sexual selection, which produces behavior that is related to success in mating, is one type of social selection. The behavior of one party impacts the fitness of the other, and some rather illogical bizarre behaviors such as the peacocks tail can result. Social selection is deeply embedded in biological systems. It can explain the evolution of altruism and cooperation (Simon 1990; Frank 1998, 2006). It is responsible for sacrifice and cooperation in multicellular organisms much simpler than humans (Frank 2006). Social selection at a genomic level explains why chromosomes exist and how multicellular organisms were able to evolve (Frank 2006). It is most probable that social selection is the means by which religion has evolved. A neo-Darwinian perspective now allows us to consider this more complex selection processes. One way of searching for it is with agent-based modeling.

1.12
The human brain communicates religious belief as if it were real information with a symbolic system that seems to be designed to communicate information that is valuable for individual survival in a real world. Religion is capable of communicating a vision of reality that has no empirically verifiable existence. The model developed below shows that it is possible for such communication to evolve along side of communication with obvious survival functions.

1.13
The simulation here shows that a social selection process can select a desire to communicate beliefs in a non-verifiable reality. The simulation does not encompass all religious behavior but focuses on this essential cognitive aspect of it, the communication of unverifiable non-empirical realities, the aspect that is most puzzling because it appears to be irrational. It answers the question of why humans create images of an non-existent world and commit their fellows to believe in its reality.

* An Agent-Based Model

2.1
In the simulation, a society of agents provides a framework in which a genetically transmitted capacity for religious behavior can evolve. The purpose of this agent-based simulation is not to show how social behavior evolves through social contact but to show how genetic selection can take place within a group as a result of social contact.

2.2
The agent-based model is labeled for convenience as evogod. Because it is concerned with social selection, it is a co-evolutionary model, one that mixes genetically determined and learned behavior together (Durham 1991). The model includes changes both in gene-frequency and cultural learning. The model must be co-evolutionary because the selection of genes takes place in the context of social behavior. Lumsden (1999) describes co-evolution as follows:
Sociobiology proposes that genes and culture do not evolve independently, on separated, isolated tracks. The neurobiology of human mental development makes them co-dependent, resulting in the process of gene-culture coevolution (Lumsden and Wilson 1981). Gene-culture coevolution in human beings appears to be based on gene-culture transmission, a process of organismic growth and development in which innate learning capacities respond to certain forms or types of cultural information in preference to others, demarcating the central tendencies around which cultural diversity plays (Lumsden 1999).

2.3
Co-evolutionary models are more complex than social-behavioral models, because behavior is affected differently by genes and by culture. The ability of agents to do something is not acquired at birth, but is acquired during a lifetime of learning. The inherited capacities acquired at birth simply give an agent a greater or lesser ability to learn this behavior. Co-evolutionary models have been broadly considered in the evolution religious behavior (Dennet 2006; Boyd and Richerson 2001); however, an operational model such as evogod has not yet been put forward.

2.4
The variables affecting an evogod agent's behavior are shown in Figure 1. The variables belonging to the agent are shown inside the green box. The effects that these variables have on other agents and the effects that they receive from other agents are shown outside the box. The genetic effects are shown in red, and the cultural-learning effects are shown in blue. The model does not include a large external storehouse of cultural memory, such as books or databases, from which agents learn. Therefore, it is more applicable to an early, pre-literate culture than to a modern civilization. The brain underwent most of its evolution when people lived such cultures (Boyd and Silk 2006).
Figure 1
Figure 1: Gene-culture effects on an agents behavior. Genetic effects in red. Cultural learning in blue.

2.5
The agents are asexual reproducers. Each agent is capable of two types of behavior, real communication and unreal communication. Real communication carries information about the environment that the receiver can use to increase its fitness. Unreal communication carries no information about the environment and may decrease the fitness of the receiver by diverting its attention. Religious communication is of the unreal type. Although religious communication has benefits, these have nothing to do with the information in the communication. It is precisely the lack of material real-world information that defines religious belief. The simulation examines how unreal communication can evolve by means of social selection.

2.6
Religious communication with its religious symbolism is transmitting some sort of information, and, if it has evolved by natural selection, it must be generating some sort of fitness. The problem is that religious information cannot be interpreted in a way that reveals its direct effect on fitness. On the other hand, one can see the fitness effects of real communication because it leads to obvious survival behavior: a fear of predators, the ability to locate food, etc. What I mean by "real communication" is communication carrying an environmentally relevant message related directly to survival and/or reproduction.

2.7
Some grand parameters in the evogod model alter the way in which evolution proceeds. Not all of them are varied in the simulation runs described below. They affect the following.

The size of the population

2.8
The number of agents can change as the population evolves, or it can remain constant under the influence of other selection factors maintaining its size against whatever effect the communications are having. When the variable grow = 0 the number of agents can grow or decline. When grow = 1, the number of agents remains the same. Note that the evolution of genetic traits can take place even if the population does not change in size.

The degree of cultural learning.

2.9
The receipt of a communication can increase the tendency of the receiver to make a later communication. The act of receiving communication develops an ability and willingness to return communication of the same type. The learning process is controlled by the system parameters dcr and dcu, which can vary from 0 to any positive number to allow none to some cultural learning. All communication behavior in the model is learned. Only the capacity to learn is affected by the genetic factors (ipr and ipu). The model shows how the frequencies of these genetic factors change as social selection proceeds.

The choice of agents with which to communicate.

2.10
The agents with whom an agent communicates can be chosen randomly from a uniform distribution of the agents (greenbeard = 0), or they can be chosen from a distribution based on the tendency of another agent to engage in unreal communication (greenbeard = 1). The greenbeard parameter models the ability of agents to respond to the behavior of other agents. If one agent sees that another agent is more likely to communicate unreal information, it can select that agent as a recipient of its communication with a greater probability. The greenbeard effect models Irons' (2001) and Sosis's (2004) hard-to-fake signals. In their theory, the religious communicators evoke greater trust, and others will want to associate with them. The costliness of a religious signal in their theory is included in the model as the parameter dfiu.

2.11
The greenbeard effect did not seem to be particularly important when the evogod simulation was first conceived; however it turned out to be an important factor determining when the capacity for unreal communication would be selected. The term "greenbeard" or "Green Beard" was coined by Dawkins (1976:96) in his book The Selfish Gene to describe a phenotypic trait that others can recognize before making their decision to transfer benefits. It has to be something observable that is affected by genes. Dawkins used it to explain the possible evolution of altruism by means of genes that were inherently selfish. He picked a rather ridiculous genetically induced signal, a green beard, to show its arbitrariness.

2.12
The greenbeard effect is related to the commitment theories described above. These theories propose that religion evolved as a mechanism to commit group members to a common pattern of action within a group. The greenbeard effect in the evogod model causes agents to seek out other agents with which to communicate on the basis of their ability to communicate unreal information.

* Details of the Model

3.1
The model evogod is available as a SciLab program, which is shown in the Appendix. SciLab is an open-source numerical mathematical package similar to MatLab and is available for most desktop computers at http://www.scilab.org/.

Agent variables

3.2
Each agent (i) has
an age
agi
The age of the agent i. The age increases by one at each step of the simulation until it exceeds the life expectancy le; then the agent dies and is replaced by no, one, or more "offspring" agents according to the fitness, fii, of the one who has died.
two inherited capacities to learn to communicate
ipri
The inherited capacity of agent i to learn to communicate real information to another agent. This value is initially assigned at random, does not change during the lifetime of the agent, and is inherited by offspring when the agent dies.
ipui
The inherited capacity of agent i to learn to communicate unreal information to another agent. This value is initially assigned at random, does not change during the lifetime of the agent, and is inherited by offspring when the agent dies.
two learned tendencies to communicate
cpri
The learned tendency to communicate real information to another agent. It is made equal to icp at step 1 and when a new agent replaces one that dies. It changes throughout the lifetime of the agent. It increases by dcr × ipri whenever real information is received. It cannot rise above one.
cpui
The learned tendency to communicate unreal information to another agent. It is made equal to icp at step 1 and when a new agent replaces one that dies. It changes throughout the lifetime of the agent. It increases by dcu × ipui whenever unreal information is received. It cannot rise above one.
and a measure of fitness.
fii
The fitness of the agent that becomes the number of offspring to replace it when it dies. This variable increases and decreases during the simulation.

3.3
The agent population is stepped through ns steps. The size of the initial population of agents depends on how it is distributed over the ages. The initial distribution of ages in the runs that were made for this article were uniform between 1 and le, the life expectancy of an agent. The life expectancy is constant for all agents during a simulation run. The model can also distribute the initial population in declining age cohorts. See system parameters ip1, le, and dp in the Appendix, but this capability was not used in the current simulations.

3.4
Randomly distributed inheritable capacities to communicate real (ipri) and unreal (ipui ) information are assigned to all the agents in the initial population. In the simulations presented here, they are selected from a uniform distribution between zero and one. It is important to have a wide variation of initial genetic types so that evolution by natural selection can proceed, therefore the full range of capacities between zero and one were used. No mutation was assumed in the simulation.

3.5
For each agent i, two other numbers between 0 and 1 represent the actual tendency to communicate real (cpri) and unreal (cpui) information at each step. They both start out as a low constant, icp, and then increase by learning as communications are received from other agents. The changing tendencies cpri and cpui affect the behavior of the agents, but do not measure the effect of selection. They represent cultural learning. To track the effect of selection, the means of ipri and ipui are calculated at each step. Their final distributions are also displayed in a histogram at the end of the run.

3.6
During each step in a simulation run, agents communicate with each other. Each agent randomly selects a number of other agents up to a maximum of mc with which to communicate. An agent, i, makes both types of communications. The number of other agents selected to receive these communications depends on i's learned tendency to make real (cpri) and unreal (cpui) communications. The number selected to receive real communications is mc × cpri, and the number selected to receive unreal communications is mc × cpui. If greenbeard = 0, the selection of receiving agents is made randomly from a uniform distribution of all the agents. If greenbeard = 1, the selection is made randomly from the agents distributed according to their current perceived tendency (cpuj) to make unreal communications. In this case, agents who have developed a high tendency to make unreal communications will be more likely to receive both types communications from other agents.

3.7
The fitness of the agents is affected by this communication. If mult = 0, agents that receive real communications increase in fitness by a constant amount cmr × dfir, and agents who receive unreal communications will decrease in fitness by a constant amount cmu × dfiu. If mult = 1, the impact on their fitness will depend on how well they have learned to communicate real information, and fitness will increase by cpri × dfir and decrease by cpui × dfiu. This allows testing the hypothesis that cultural learning increases the impact of communication on fitness. Note that positive parameters in the simulation program consistently represent increases, and negative amounts represent decreases. Normally dfiu will be negative to indicate decreases. Agents that communicate unreal information also decrease in fitness by the amount dfisu independently of the number of agents with whom they communicate. dfiu represents the cost of costly signaling.

3.8
Cultural learning causes cpri and cpui to increase whenever an agent i receives the respective type of communication. An agent receiving a real communication increases its tendency to make a real communication by the amount dcr × ipri. An agent receiving an unreal communication increases its tendency to make an unreal communication by dcu × ipui. Thus, the learning is affected by the inherited capacities of the agents to engage in either real or unreal communication.

3.9
A crossover effect is also included to test whether or not unreal communication adds fitness to the population by stimulating real communication. An agent receiving an unreal communication increases its tendency to make a real communication by the amount dcur × ipri. The learning parameters, dcr, dcu, and dcur are system parameters that can be varied to model different types of learning. Every agent creates and receives both kinds of communication. Agent i's tendencies of communication (cpri and cpui) increase during its lifetime but cannot exceed one.

3.10
Agents that have exceeded the life expectancy le are removed from the population and replaced by new agents according to the fitness they have a accumulated. Agents with a fitness less than 0.5 are not replaced. Agents with a fitness between 0.5 and 1.5 are replaced by one agent. Agents with a fitness between 1.5 and 2.5 are replaced by two agents, and so forth. A new agent i enters the population with the same inherited capacities, ipri and ipui, as the agent it has replaced. cpri and cupi are set to the low constant ipc, and the new agent is given an age of 1, and a fitness of 1. These new agents can be thought of as the offspring of agents who have died.

3.11
The population of agents can increase of decrease if the simulation parameter popgrow is set equal to zero. However, the population can be stabilized at the initial level by setting popgrow to one. This models a condition in which factors other than religion are the dominant ones controlling population size. When popgrow equals one, a declining population is stabilized by duplicating randomly chosen agents, and an increasing population is held back by removing agents at random. popgrow was set to zero for all the runs described in this article. The situation of a stabilized population was not considered here.

Measurements of Output

3.12
The primary measurements were a graph of the change in population size and a graph of the change in means of the genetic tendencies ipr and ipu. This latter measurement indicated the effect of selection on inherited capacities.

* Results

4.1
Although there was randomness in the simulation, runs with the same parameters were very similar. Within the range of parameters tested, no instabilities due to randomization were noticed. The parameters of each case are shown in Table A1 in the Appendix.

Case 1

4.2
Case 1 is a baseline case in which the agents randomly pick agents with which to communicate from a uniform distribution of other agents (greenbeard = 0). There is no cultural learning in this run, so the tendency to communicate remains fixed at icp = 0.2. The increment to fitness from receiving real information (dfir = 0.017) is is 3.4 times the decrement to fitness from receiving unreal information (dfiu = -.005). None of the increases or decreases to fitness depend on the receiver's ability to communicate (mult = 0). The cost of signaling unreal information (dfisu) is -0.01) These parameters have been set so that there is no increase or decrease in the population. The means of the inherited tendencies to communicate real (ipri) and unreal (ipui) information remain the same throughout the run.

Case 2

4.3
Case 2 adds cultural learning to the Case 1. The system parameters that affect the cultural learning of a tendency to transmit real and unreal information (dcr, dcu, and dcur) are increased to 0.01. Agents acquire fitness by learning how to engage in real communication and spread this ability around by communicating with each other. Population increases, as shown in Figure 2. However, there is no significant effect on the means of inherited capacities of either types of communication as seen in Figure 3. The agents learn how to communicate real information by receiving unreal information (dcur = 0.01), yet there is no evolution of the mean genetic capacity to create unreal communication. In interpreting the graphs, the reader should note that the scales on the left vary from case to case and small random variations may look large because the scale is small.
Figure 2
Figure 2: Population increase in Case 2.

Figure 3
Figure 3: The evolving means of real (black) and unreal (blue) communication capacities in Case 2

4.4
Randomness exists in the simulation. However, it does not alter the basic patterns as illustrated by five more runs of Case 2 shown in Figures 4 and 5. The means of the capacities ipr and ipu do not change in the early part of the runs because each agent starts out with the same constant capacity of communicating, icp = 0.2, and does not acquire fitness until it has learned how to communicate and benefit from receiving information.
Figure 4
Figure 4: Population increase in five runs of Case 2.
Figure 5
Figure 5: The evolving means of real (black) and unreal (blue) communication capacities in five runs of Case 2.

Case 3

4.5
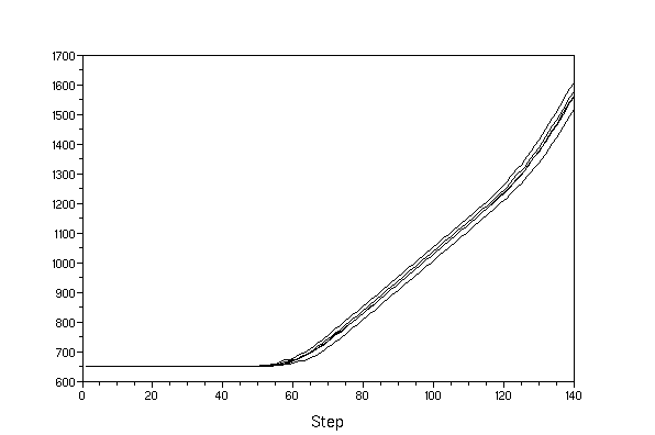
Case 3 retains the same parameters as Case 2, except that it allows fitness to be multiplied by the the learned tendency to communicate real information, mult = 1. As agents learn how to transmit real information they are able to garner increased fitness, which affects the number of offspring. This begins to snowball as poor real communicators are eliminated and good ones have more offspring. The growth of population is illustrated in Figure 6, which is more rapid than in Case 2 shown in Figure 2.
Figure 6
Figure 6: The growth in population caused by better learning in Case 3.

4.6
Selection now alters mean inherited capacities to communicate. The gene frequencies for real communication begin to rise and those for unreal communication begin to fall. This can be seen in Figure 7.
Figure 7
Figure 7: The evolving means for real (black) and unreal (blue) communication capacities in Case 3.

4.7
The addition of a multiplier (mult = 1) that multiplies the increase in fitness of agents who receive real communication by their capacity to make real communication starts a selection process that eventually leads to the elimination of unreal communicators. There must be more to the evolution of religion, because religion relies on a subpopulation of unreal communicators. The parameters in Case 3 do not support the evolution of religious behavior.

Case 4

4.8
Case 4 brings population more under control by increasing the cost of costly signaling (dfisu = -0.02). The run is stretched out to 300 steps to look at longer term trends. Population declines at first and then increases exponentially as seen in Figure 8.
Figure 8
Figure 8: Longer term population growth with more cost to costly signaling.

4.9
There is a pickup in the number of agents who are able to increase their fitness through real communications, and there is a loss of agents in the poorer real communication category. Figure 9 shows the final distribution of ipri in the population. It shows the loss of agents with very low real communication skills.
Figure 9
Figure 9: Case 4: Final distribution of real communication capacity (ipr) with more cost to costly signaling. The probability ranges are in tenths.

4.10
The steady separation of the mean inherited capacities to make real and unreal communications continues in Case 4 as seen in Figure 10. The mean of the capacity to make real communications rises and the mean of the capacity to make unreal ones falls. The inflection around step 100 is due to the large number of agents who saturate their learned tendency to make real communications, which cannot rise above one. At the end of the run most all of the agents beyond age 25 had learned tendencies of making real communications fixed at one. This means that they communicate with the maximum number of agents (mc) during each step after that. The evolution of the means of the capacities continue their rough linear trend, real communication is positively selected and unreal communication is negatively selected. Religious behavior, which depends on unreal communication, fails to evolve by natural selection.
Figure 10
Figure 10: The trend of means of the capacities to make real (black) and unreal (blue) communications in Case 4.

Case 5

4.11
Case 5 adds the greenbeard effect to Case 4 and returns the run to 140 steps. A longer run is not necessary to observe the effects. The output of this run is the first to show an evolution of an inherited capacity for unreal communication. By attracting real fitness-enhancing communication, the unreal communicators gain fitness. Population dips and then recovers as in Case 4. The population curve is shown in Figure 11. The greenbeard effect causes the communicators of both types, real and unreal, to seek out the unreal communicators with a probability proportional to their tendency to communicate unreal information. This causes the mean of the capacity for unreal communication to increase in the population along with the mean of the capacity for real communication.
Figure 11
Figure 11: Population decline and growth in Case 5.

4.12
The selection of the capacities for real and unreal communication are shown by their means plotted in Figure 12
Figure 12
Figure 12: The evolving selection of capacities for real (black) and unreal (blue) communications with the greenbeard effect in operation.

4.13
Figure 13 shows the final distribution of the inherited capacity for making real communications (ipri) in Case 5. Agents with the lower capacities are losing fitness and are being dropped from the population.
Figure 13
Figure 13: The final distribution of the capacity for real communication (ipr) in Case 5. The capacity ranges are in tenths.

4.14
Figure 14 shows the final distribution of the capacity for making unreal communication in Case 5. Agents with high capacities for unreal communication have reproduced almost as well as those with high capacities for real communication.
Figure 14
Figure 14: The final distribution of the capacity for unreal communication (ipu) in Case 5. The capacity ranges are in tenths.

* Validity and Sensitivity

Validity

5.1
The evogod model covers evolution that took place in the Paleolithic Period between 100,000 years and 10,000 years ago, after language evolved and before writing was invented. The archaeological record indicates that the ability to symbolize and communicate religious information evolved some time before the invention of writing, but that the exact time and place is unknown. It could have been a long, drawn out process or could have been accelerated by fortuitous mutations.

5.2
Data on human behavior from this period is sparse to say the least. Human scratchings on bones as old as 70,000 years exist. The scratchings may be symbolic but no data exists to indicate that they represent an unreal world (Marshack 1972). They may not be symbolic at all (White 1996:243). Artworks of a figurative nature begin to appear in the early Upper Paleolithic, 35,000 to 10,000 B.P. (Berghaus 2004:2). It is difficult to date the paintings on the walls of caves of that period. However, they could have been made by religious believers and could reflect a belief in an magical reality (Lewis-Williams and Clottes 1998). But the exact nature of the symbolism in cave writing is uncertain. White (1996:244) sees the changes that occurred in the Upper Paleolithic as indicative of an emergence of complex systems of meaning and social actions such as we are accustomed to observing today. On the basis of archaeological evidence, Isaac (1976) observes that a threshold was crossed at the beginning of the Upper Paleolithic that enabled more symbolic interaction between humans. A capacity for symbolic communication was developing, but whether or not there were processes afoot that resemble the evogod model is still speculation; however there is nothing to indicate that something similar was not taking place.

5.3
When the written record finally appears in the Neolithic Period, it contains many references to supernatural beings and events. The evolutionary process modeled by the evogod simulation had been completed by that time. A human capacity for unreal communication definitely existed during the third millennium B.C. when the Egyptians used writing to communicate with gods and the dead (Goody 1986:26). Most of the writing on the walls of ancient Egyptian tombs was hidden from public view and was intended to be read by the gods themselves or by the resurrected residents. Everyone may not have believed in the gods, but they must have been a topic of conversation. Practically all literate cultures that we know of today support a plethora of communication about supernatural beings and other things the reality of which cannot be determined by the use of the senses in their ordinary adaptive way.

5.4
An ontogenetic residue of the evolution of a capacity for religion can be found. This does not show that it evolved precisely in the way that the evogod model proposes; however does show that biological evolution lies behind religious thinking. Religious thinking begins in early childhood. Children naturally begin to acquire language during the second year after birth. Some psychologists believe that the ability to conceive of supernatural entities, such as the Christian God, appear even before the abilities to understand observable realities (Barrett and Richert 2003). God is simple compared to the real world, and a child finds the idea of God easier to understand. Children are intuitive theists (Kleemen 1999). The evidence points toward an inherited biological propensity to think in religious terms (Bulbulia 2004a).

5.5
A number of features of the evogod model simplify the complex reality of natural selection. Among these are asexual instead of sexual reproduction, a perfect inheritance of behavioral traits, a fixed life span, and a uniform capacity for learning over the life span (when mult = 0). Such simplifications and even greater ones are made in typical models of evolution (Maynard Smith 1982; Frank 1998). Maynard Smith points out that these models like the present one are not intended to be testable. He writes "Thus there is a contrast between simple models, which are not testable but which may be of heuristic value, and applications of those models to the real world, when testability is an essential requirement" (Maynard Smith 1982:9). The evogod model is not intended to be a detailed model of the particular evolution of a particular religion. It is intended to show that a core feature of religion, communication of information about unverifiable things or events (unreal communication), can evolve by natural selection and that religion in general is not a consequence of behaviors that evolved for other reasons.

5.6
icp the initial tendency for communicating both real and unreal information was set at a low value to model a young rather childish tendency for communication, a point from which learning takes place. The choice of 0.2 was rather arbitrary. If it were lower, the period during which no selection took place would have been dragged out longer as the agents were learning to communicate. If it were higher, selection would have occurred sooner, but more agents would have their communication tendencies saturated at a value of 1.

Sensitivity

5.7
The output of the simulation is affected by 22 system parameters four of which are binary switches. The simulation is sensitive to the binary switch, greenbeard, which allows agents to be selected on the basis of their tendency to make unreal communications. The significance of this sensitivity was discussed in Case 5 above. When the greenbeard parameter was turned on (greenbeard = 1), unreal communication began to evolve.

5.8
The simulation is also sensitive to the three other binary parameters: mult, dist, and popgrow. When the mult parameter was turned on (mult = 1) , there was an acceleration in population growth. mult causes fitness to be multiplied by the the learned tendency to communicate real information This was a tweak in the simulation that made cultural learning more realistic. An agent becomes more efficient in utilizing information as it gains experience with the process of communicating. The main effect of making mult = 1 was to make cultural leaning more effective and accentuate its contribution to the simulation. The important thing to note was that cultural simulation whether or not it was in a lower effective mode (mult = 0) or a higher effective mode (mult = 1) did not spark the evolution of unreal communication.

5.9
The dist parameter which alters the distribution of the initial population and the popgrow parameter which stops the growth of the population were not turned on in the runs described in this article. They probably would affect the rate at which the evolution of unreal communication would, or would not, take place. Since the goal of the simulation was to illustrate that such an evolution could take place under some reasonable conditions, exploring the other conditions under which it could also take place would not change this result, but it would make interesting research for the future.

5.10
The simulation is also sensitive to changes in other system parameters. lr, ur, lv, and uu set the range of inherited capacities for real and unreal communication. A wide range was used for all the runs in this article in order to provide enough genetic variability over which natural selection could take place. As Darwin realized, evolution depends on genetic variability. Using a narrower range would have slowed the evolution of the means of the traits and could have skewed them in one direction or another. The means could have never gone beyond the initial range.

5.11
In the real world, variability would be introduced into evolution by the recombination and mutation of genes. The evogod simulation did not assume either. Recombination or mutation would simply introduce more genetic variability and would make the evolution of religious communication more certain under the other conditions that were imposed. If religious communication can evolve without either the recombination or mutation, then it would certainly evolve with them.

* Conclusion

6.1
The adaptive value of religion cannot be discerned easily by a mind that has evolved to solve short-term problems of survival. The evogod simulation shows how a capacity to create religious ideas can evolve by social selection. It reveals a selection process that can increase genetically inherited capacities to communicate unreal, unverifiable information.

6.2
In Cases 2, 3, and 4, the agents learn how to communicate real information by receiving unreal information, and, yet, there is no evolution of a genetic capacity to maintain unreal communication. Thus the evolution of religion is probably not caused by stimulating the communication of environmentally useful information. This argues against Rappaport's (1999) theory that religion evolved to regulate environmental adaptation. However his theory was based on the possibility of group selection, which could be taking place outside of the model under consideration, which is focused on individual genetic selection. Although group selection is being reconsidered (Wilson and Sober 1994), it seems premature to drag it into a model of the evolution of religion at this point when so little is known about the process of individual genetic selection of religious behavior. The social selection process in this model is still an individual selection process, because it operates on individuals not groups. However, both processes, individual selection and group selection, could be at work at the same time. Further development of the model could take this into consideration. The results do show that one does not have to resort to group selection to explain the evolution of religion.

6.3
Commitment theory is well supported. It is clear from the simulation runs shown here that the key to religion's evolution is in the greenbeard effect, the ability to attract adherents. The evogod simulation does not explain why people will give benefits to others who proclaim a reality that is unverifiable. However, it tells us that if they do give such benefits, the biological evolution of religious behavior can occur.

6.4
Commitment theory takes this idea one step further and proposes that the reason that people do give such benefits is that they perceive religious folk to be more trustworthy. The results of the evogod simulation support this theory; however they do not completely eliminate other motives for commitment. The attractiveness of unreal communicators might be due to their ability to imitate a kind parent (Kirkpatrick 2005), or to the display of some sexually attractive physical or mental ability, or all three of these types of attractiveness might be in play. The simulation does clearly show that religion cannot evolve simply by stimulating cultural communication. It has to have a quality that causes others to direct communication toward the the person who communicates the most religious ideas. It suggests further research on the motives people have for communicating with, and giving benefits to communicators of religious ideas.

* Acknowledgements

The author acknowledges the help and encouragement received from Candace Alcorta, Richard Sosis, Lawrence Kuznar, and the editor and reviewers of the JASSS.


* Notes

1. The term module is commonly used in evolutionary psychology to describe a pattern of heritable behavior aimed at solving a particular problem of survival in the evolutionary past (Barkow, Tooby, and Cosmides 1992).


* Appendix

The Initial Population

A.1
The agents in the initial population have ages between 1 and le, the life expectancy. The size of the initial population depends on how many agents there are at each age. The number of agents at age 1 one is set to ip1. The number in the remaining ages is calculated with a decline of dp agents per age step. In the runs described, there was no decline (dp = 0), so each age group had the same number of agents (ip1) in the initial population. This gave a total initial population of ip1 × le.

A.2
The random distribution of genetic capacities to communicate real (ipr) and unreal (ipu) information in the initial population can be uniform (dist = 0) or binomial (dist = 1). The lower limit of the capacity to communicate real information is lr, and the upper limit is ur. Similarly the lower limit for unreal information is lv and the upper limit is uu. Note that 0 ≤ lr < ur ≤ 1 and 0 ≤ lv < u ≤ 1. The symbol lu could not be used because it stands for a function in Scilab. If the random distribution is binomial, ur and uu are the means. Only uniform random distributions between 0 and 1 were used in the present simulation runs.

List of Agent Variables

A.3
The agent variables are contained in a matrix a. These variables change from step to step, and the population of agents may increase or decline. There is one row for every agent in the population. The columns of row i in matrix a contain six variables for agent i as follows:
agi = ai,1
The age of the agent i. The age increases by one at each step of the simulation until it exceeds the life expectancy le; then the agent dies and is replaced by no, one, or more "offspring" agents according to the fitness, fii, of the one who has died.
ipri = ai,2
The inherited capacity of agent i to communicate real information to another agent. This value is initially assigned at random, does not change during the lifetime of the agent, and is inherited by offspring when the agent dies.
ipui = ai,3
The inherited capacity of agent i to communicate unreal information to another agent. This value is initially assigned at random, does not change during the lifetime of the agent, and is inherited by offspring when the agent dies.
cpri = ai,4
The learned tendency to communicate real information to another agent. It is made equal to icp at step 1 and when a new agent replaces one that dies. It changes throughout the lifetime of the agent. It increases by dcr × ipri whenever real information is received. It cannot rise above one.
cpui = ai,5
The learned tendency to communicate unreal information to another agent. It is made equal to icp at step 1 and when a new agent replaces one that dies. It changes throughout the lifetime of the agent. It increases by dcu × ipui whenever unreal information is received. It cannot rise above one.
fii =  ai,6
The fitness of the agent that becomes the number of offspring to replace it when it dies. This variable increases and decreases during the simulation.

List of System Parameters

A.4
The simulation parameters, which do not vary from step to step, are shown here alphabetically. Note that increases are represented by positive numbers and decreases by negative ones.
cmr
A constant fitness multiplier used when real information is received. When mult = 0, receipt of real communication adds cmr × dfir to the fitness of an agent. cmr does not vary from agent to agent.
cmu
A constant fitness multiplier used when unreal information is received. When mult = 0, receipt of unreal communication subtracts cmu × (-dfiu) from the fitness of an agent. cmu does not vary from agent to agent.
dcr
The increase in the tendency to communicate real information (cpri) that occurs when agent i receives real information. This is added to cpri, but cpri cannot go above 1.
dcu
The increase in the tendency to communicate unreal information (cpui) that occurs when agent i receives unreal information. This is added to cpui, but cpui cannot go above 1.
dcur
The increase in the tendency to communicate real information (cpri) that occurs when the agent receives a communication of unreal information. This is added to cpri, but cpri cannot go above 1.
dfir
The increase in fitness due to the receipt of a real information.
dfiu
The decrease in fitness due to the receipt of unreal information. dfiu will normally be a negative number and will cause a decrease.
dfisu
The decrease in fitness to the sender of unreal information. This will normally be negative and models the "costliness" of sending an unreal signal.
dist
If dist equals 0, the initial distribution of probability ipr will be uniform between lr and ur and the initial distribution of ipu will be uniform between lv and uu. If dist equals one, the initial distribution of ipr will be binomial around ur and the initial distribution of ipu will be binomial around uu.
dp
The decline in initial age specific population per cohort. This is a real number not an integer. In the calculation of the initial age specific population, the size of the age cohorts will be rounded off to the nearest integer.
greenbeard
If greenbeard equals zero, the agents to receive a communication, both real and unreal, are chosen at random from a uniform distribution of the current population. If greenbeard = 1, the receiving agents are chosen at random from the population distributed according to the current tendency to make unreal communications (cpui). Agents which have a greater tendency to make unreal communications will be more ilkley to be chosen. This incorporates the idea that religious leaders can increase the likelihood of receiving communications from others.
icp
The initial value of learned tendencies of communication, cpr and cpu.
ip1
Initial population of age 1 agents.
le
Life expectancy in steps. This is constant for all agents.
lr
The lower limit for an initial ipr.
lv
The lower limit for an initial ipu.
mc
The maximum number of agents with which an agent can communicate during one step.
mult
This switch indicates whether or not a fitness change will be multiplied by learned tendencies to communicate real or unreal communication. If mult = 0, the fitness will be multiplied by the constant cmr, when the communication is real or cmu when it is unreal. If mult= 1, it will be multiplied by the respective learned tendency, cprj or cpuj, of the receiver, j. This models the ability of an agent to increase its fitness benefit through cultural learning.
ns
Number of steps in the simulation.
popgrow
When popgrow equals zero, the population is allowed to grow or decline. When it equals one, it is not allowed to grow or decline.
ur
Upper limit of an initial ipr.
uu
Upper limit for an initial ipu.
Table A1: Parameter Settings Used for the Cases Described
Run Parameter set
1 ns = 140; ip1 = 10; le = 65; mc = 5; dcr = 0.00; dcu = 0.00; dcur = 0.00; dfir = 0.017; dfiu = -0.005; dfisu = -0.01; dp = 0; lr = 0; ur = 1; lv = 0; uu = 1; dist = 0; popgrow = 0; greenbeard = 0; mult = 0; cmr = 0.5; cmu = 0.5; icp = 0.2;
2 ns = 140; ip1 = 10; le = 65; mc = 5; dcr = 0.01; dcu = 0.01; dcur = 0.01; dfir = 0.012; dfiu = -0.005; dfisu = -0.01; dp = 0; lr = 0; ur = 1; lv = 0; uu = 1; dist = 0; popgrow = 0; greenbeard = 0; mult = 0; cmr = 0.5; cmu = 0.5; icp = 0.2;
3 ns = 140; ip1 = 10; le = 65; mc = 5; dcr = 0.01; dcu = 0.01; dcur = 0.01; dfir = 0.012; dfiu = -0.005; dfisu = -0.01; dp = 0; lr = 0; ur = 1; lv = 0; uu = 1; dist = 0; popgrow = 0; greenbeard = 0; mult =1; cmr = 0.5; cmu = 0.5; icp = 0.2;
4 ns = 300; ip1 = 10; le = 65; mc = 5; dcr = 0.01; dcu = 0.01; dcur = 0.01; dfir = 0.010; dfiu = -0.005; dfisu = -0.02; dp = 0; lr = 0; ur = 1; lv = 0; uu = 1; dist = 0; popgrow = 0; greenbeard = 0; mult =1; cmr = 0.5; cmu = 0.5; icp = 0.2;
5 ns = 140; ip1 = 10; le = 65; mc = 5; dcr = 0.01; dcu = 0.01; dcur = 0.01; dfir = 0.010; dfiu = -0.005; dfisu = -0.02; dp = 0; lr = 0; ur = 1; lv = 0; uu = 1; dist = 0; popgrow = 0; greenbeard = 1; mult =1; cmr = 0.5; cmu = 0.5; icp = 0.2;

SciLab program

Download the program here.

View the program in the window below.


* References

ALCORTA C S, Sosis R (2005) Ritual, Emotion, and Sacred Symbols: The Evolution of Religion as an Adaptive Complex. Human Nature, 16(4), pp. 323-359.

ATRAN S (2002) In Gods We Trust: The Evolutionary Landscape of Religion. Oxford: Oxford University Press.

ATRAN S and Norenzayan A (2004) Religion's Evolutionary Landscape: Counterintuition, Commitment, Compassion, Communion. Behavioral and Brain Sciences, 27, pp. 713-730.

BARKOW J H, Cosmides L, and Tooby J (Eds.) (1992) The Adapted Mind: Evolutionary Psychology and the Generation of Culture. New York: Oxford University Press.

BARRETT J L (2000) Exploring the Natural Foundations of Religion. Trends in Cognitive Sciences, 4(1), pp. 29-34.

BARRETT J L and Richert R A (2003) Anthropomorphism or Preparedness: Exploring Children's God Concepts. Review of Religious Research, 44, pp. 300-312.

BERGHAUS G (2004) New Perspectives on Prehistoric Art. Westport, CT: Praeger/Greenwood.

BOYD R and Richerson P J (2001) "The Evolution of Subjective Commitment to Groups: A Tribal Instinct Hypothesis." In R. Nesse (Ed.) Evolution and the Capacity for Commitment, pp. 186-220. New York: Russell Sage Foundation.

BOYD R and Silk J B (2006) How Humans Evolved, Fourth Edition. New York: W.W. Norton.

BOYER P (2001) Religion Explained: The Evolutionary Origins of Religious Thought. New York: Basic Books.

BOYER P (2003) Religious Thought and Behaviour as By-Products of Brain Function. Trends in Cognitive Sciences, 7(3), pp. 119-124.

BULBULIA J (2004a) The Cognitive and Evolutionary Psychology of Religion. Biology and Philosophy, 19(5), pp. 655-686.

BULBULIA J (2004b) Religious Costs as Adaptations that Signal Altruistic Intention. Evolution and Cognition, 10, pp. 19-42.

DAWKINS R (1976) The Selfish Gene. New York: Oxford Univ. Press.

DENNETT D (2006) Breaking the Spell: Religion as a Natural Phenomenon. New York: Viking Adult.

DORAN J (1998) Simulating Collective Misbelief. Journal of Artificial Societies and Social Simulation, 1(1)3. https://www.jasss.org/1/1/3.html

DOW J W (2006) The Evolution of Religion: Three Anthropological Approaches. Method and Theory in the Study of Religion, 18(1), pp. 67-91.

DOW J W (2007) A Scientific Definition of Religion. Anpere: Anthropological Perspectives on Religion http://www.anpere.net/ccount/click.php?id=13

DURHAM W (1991) Coevolution: Genes, Culture, and Human Diversity. Stanford, CA: Stanford University Press.

DURKHEIM, É (1912) Les formes élémentaires de la vie religieuse: Le systéme totémique en Australie, Livre I: Questions préliminaires. Chicoutimi, Québec: Bibliothéque Paul-Émile-Boulet de l'Université du Québec à Chicoutimi. http://classiques.uqac.ca/classiques/Durkheim_emile/formes_vie_religieuse/formes_vie_religieuse.html

FISHER R A (1958) The Genetical Theory of Natural Selection, Second Revised Edition. New York: Dover Publication.

FRANK S A (1998) Foundations of Social Evolution. Princeton, NJ: Princeton University Press.

FRANK S A (2006) "Social selection". In C. W. Fox and J. B. Wolf (Eds.) Evolutionary Genetics: Concepts and Case Studies, pp. 350-363. Oxford: Oxford University Press.

GOODY J (1986) The Logic of Writing and the Organization of Society. Cambridge: Cambridge University Press.

IRONS W (2001) "Religion as a Hard-to-Fake Sign of Commitment". In R. Nesse (Ed.) Evolution and the Capacity for Commitment, pp. 292-309. New York: Russell Sage Foundation.

ISAAC G (1976) Stages of Cultural Elaboration in the Pleistocene: Possible Archaeological Indicators of the Development of Language Capabilities. Annals of the New York Academy of Sciences, 280. pp. 275-288.

KING B (2007) Evolving God: A Provocative View on the Origins of Religion. New York: Doubleday.

KIRKPATRICK L A (2005) Attachment, Evolution, and the Psychology of Religion. New York: Guilford Publications.

KLEEMEN D (1999) The Scope of Teleological Thinking in Preschool Children. Cognition, 70, pp. 241-272.

LEWIS-WILLIAMS D J and Clottes J (1998) The Mind in the Cave - The Cave in the Mind: Altered Consciousness in the Upper Palaeolithic. Anthropology of Consciousness, 9(1), pp. 13-21

LUMSDEN C J (1999) Gene-culture Coevolution. Telepolis. http://www.heise.de/tp/r4/artikel/2/2768/1.html.

LUMSDEN C J and Wilson E O (1981) Genes, Mind, and Culture: The Coevolutionary Process. Cambridge, MA: Harvard University Press.

LYNCH A (1996) Thought Contagion: How Belief Spreads through Society. New York: Basic Books.

MARSHACK A (1972) Cognitive Aspects of Upper Paleolithic Engraving. Current Anthropology, 13(3/4), pp. 445-477.

MAYNARD SMITH J (1982) Evolution and the Theory of Games. Cambridge: Cambridge University Press.

MCNAMARA P (Ed.) ( 2006) Where God and Science Meet [Three Volumes]: How Brain and Evolutionary Studies Alter Our Understanding of Religion. New York: Greenwood Publishers.

PEREGRINE P (1996) The Birth of the Gods Revisited: A Partial Replication of Guy Swanson's (1960) Cross-Cultural Study of Religion. Cross-Cultural Research, 30(2), pp. 84-112.

RAPPAPORT R A (1999) Ritual and Religion in the Making of Humanity. New York: Cambridge University Press.

SIMON H A (1990) A Mechanism for Social Selection and Successful Altruism. Science, 250(4988), pp. 1665-1668.

SOSIS R (2004) The Adaptive Value of Religious Ritual. American Scientist, 92(2), pp. 166-172.

SWANSON G (1960) The Birth of The Gods: The Origin of Primitive Beliefs. Ann Arbor: University of Michigan Press.

UPAL M A (2005) Towards a Cognitive Science of New Religious Movements. Journal of Cognition and Culture, 5(1-2), pp. 214-239.

UPAL M A (2007) The Structure of False Social Beliefs , A paper presented at the IEEE Symposium on Artificial Life, Honolulu, Hawaii, April 2007.

WHITE R (1996) On the Evolution of Human Socio-Cultural Patterns. In A. Lock and C. R. Peters (Eds.) Handbook of Human Symbolic Evolution, pp. 239-262. New York: Oxford University Press.

WILSON D S and Sober E (1994) Reintroducing Group Selection to the Human Behavioral Sciences. Behavioral and Brain Sciences, 17(4), pp. 585-654.

WOLPERT L (2006) Six Impossible Things Before Breakfast: The Evolutionary Origins of Belief. London: Faber and Faber.

----

ButtonReturn to Contents of this issue

© Copyright Journal of Artificial Societies and Social Simulation, [2008]